
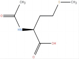
化學名稱: | N-乙酰-L-蛋氨酸 |
INCI名稱: | 乙酰蛋氨酸 |
英文名稱: | N-ACETYL-L-METHIONINE |
CAS號: | 65-82-7 |
HS編碼 | 2930400000 |
化學式: | C7H13NO3S |
分子量: | 191.25 |
中文別名: | 醋酸基甲硫氨酸 N-乙酰-L-蛋氨酸 L(-)-N-乙酰甲硫氨基丁酸 L(-)-N-乙酰甲硫氨酸 N-乙酰-L(-)-蛋氨酸 N-乙酰-L-甲硫氨基酸 N-乙酰-L(DL)-蛋氨酸 |
英文別名: | N-acetyl-L-methionine; N-Acetyl-L-methionine; (2S)-2-acetamido-4-methylsulfanylbutanoic acid NAM L-Methionine-15N, N-Acetyl Derivative ACETYL-L-METHIONINE AC-MET-OH AC-METHIONINE N-ACETYL-L-MET N-AC-L-MET N-AC-L-METHIONINE N-ALPHA-ACETYL-L-METHIONINE (2S)-2-(acetylamino)-4-(methylsulfanyl)butanoate |
指 標 Specification | 標 準 Standard |
外觀 Appearance | 白色或類白色結晶性粉末White or almost white crystalline powder |
溶液外觀 Appearance of the Solution | 透明無色至淺黃色Transparent colorless to light yellow |
pH值 pH value | 5.6~6.1 |
比旋度 Specification Rotation | +22.4°~+24.7° |
熔點 Melting Point | 104~110℃ |
干燥失重 Loss on Drying | ≤0.3% |
灼燒殘渣 Residue on Ignition | ≤0.4% |
氯化物Chloride | ≤0.05% |
硫酸鹽sulfate | ≤0.03% |
鐵鹽 Ironic Salt | ≤30ppm |
含量 Assay(drying basis) | 98.5~101.5% |
微生物檢測 Microbial Test | |
總菌數 Total Aerobic | ≤1000cfu/g |
霉菌和酵母 Yeast & Mold | ≤100cfu/g |
大腸桿菌 E.coli | Negative |
沙門氏菌 Salmonella | Negative |
Package: In 25Kg net per fiber drum, inner polythene bags. We can provide the packing as per your request. | |